Web Release Date: January 1,
Absence of Strong Gate Effects in Electrical Measurements on Phenylene-Based Conjugated Molecules
(a) Department of Nanoscience and DIMES, Delft University of Technology, Lorentzweg 1, 2628 CJ Delft, The Netherlands, (b) Laboratory of Macromolecular and Organic Chemistry, Eindhoven University of Technology, P.O. Box 513, 5600 MB Eindhoven, The Netherlands, and (c) Laboratory for Supramolecular Chemistry and Technology, MESA+ Research Institute, University of Twente, P.O. Box 217, 7500 AE Enschede, The Netherlands
Received November 8, 2002
Abstract:
The electronic transport characteristics of self-assembled monolayers of phenylene-based π-conjugated molecules were measured in a three-terminal device geometry. The short (~1 nm) molecules were connected between two gold electrodes with a nearby Al2O3/Al gate electrode. It was possible to fabricate working devices using three of the five molecules investigated. The other two types of molecules led to devices where the Au electrodes were shorted together. Current-voltage characteristics as a function of the gate voltage are presented for the other three molecules. For some devices with 1,3-benzenedithiol, a weak gate effect was observed but no gating effect was observed for devices fabricated with the other molecules. The results are in strong contrast with those reported by Schön et al.
Electronic transport through self-assembled monolayers of short (~1 nm) conjugated oligomers was studied in a field-effect transistor geometry. The molecular layers were sandwiched between Au electrodes, and an Al/Al2O3 gate electrode was situated nearby. This device geometry is similar to that described in recent publications of Schön et al.,1 where large gate effects were reported in self-assembled monolayer field-effect transistors (SAMFETs). While the results that Schön reported are ambiguous by now,2 measurements in this geometry can in principle be useful in understanding electronic transport through monolayers of organic molecules. Here, we report measurements on five small organic molecules. The molecules were all phenylene-based conjugated oligomers end-capped with thiol groups or cyanide groups for stable contacts. Three of the molecules, 1,4-phenylenediisocyanide, 1,4-benzenedithiol, and 4,4'-biphenyldithiol, also appear in the Schön publications. The yield of our devices was low, and higher resistances were observed than those reported by Schön. Most importantly, our typical data show no discernible gate effect, in strong contrast with the claims by Schön et al.1 A weak gate effect was measured in two devices made using 1,3-benzenedithiol.
To make the devices, first a 30 nm thick aluminum gate electrode was fabricated on an oxidized silicon wafer using electron-beam lithography and lift-off. The aluminum was evaporated at liquid nitrogen temperature to produce a smooth gate surface. The few nanometer thick native oxide that forms on the aluminum was used as a gate oxide. This oxide has been shown to be able to produce a strong gating effect.3-5 The next step in our fabrication scheme was to make a suspended bridge that was used as a deposition mask for the source and drain electrodes. We used a three-layer resist of either (from top to bottom) PMMA/Si/hard-baked-photoresist or PMMA/SiN/SiO2. The patterns were generated by electron-beam lithography and then transferred by SF6 and O2 plasma etching. A schematic diagram of the suspended resist bridge is shown in Figure 1a. Gold bottom electrodes were then evaporated at liquid nitrogen temperature at an angle of 10o to the surface normal. Self-assembled monolayers (SAMs) of molecules were grown on the bottom electrode by gas-phase deposition in a sealed container at 70 oC for 24 h in an N2 atmosphere. Under such conditions, the thiol or cyanide-functionalized molecules assemble on the Au surface and form a highly ordered monolayer. We also grew SAMs in liquid to compare with gas-phase deposition, and obtained a similar yield in both cases. The five different molecules that were used to grow SAMs are shown in Table 1.

Figure 1 (a) Schematic diagram of the device. The suspended bridge consists of hard baked photoresist or SiO2, and evaporated Si (or SiN). (b) Scanning-electron- microscope (SEM) image of the device that has a contact area of 400 nm2. For clarity in SEM imaging, samples were tilted 45o. (c) SEM image that shows that the top surface is far away from the substrate (> 500 nm) and that the supporting middle layer features a large undercut. Thus, we can measure the transport properties of the devices without a lift-off step in the fabrication.
Table 1. Summary of the Results from the Fabrication and Transport Experiments on a Variety of Molecular Devicesa

The molecules are (1) 1,3-benzenedithiol; (2) 1,4-benzenedithiol; (3) 1,4-phenylenediisocyanide; (4) 4,4'-biphenyldithiol; and (5) 4,4'-ethynediyl-di-benzonitrile. Molecules 1, 2, and 3 were purchased commercially from Aldrich Chemicals and Tokyo Kasei, respectively. Molecule 4 was synthesized for this work according to ref 6 by M.S., and molecule 5 was synthesized for this work by R.E. as shown in the table; the yield of the devices was low, and gate dependences were observed only in two samples. A remarkable finding is that we obtained almost the same yield of devices for both vapor and liquid growth of SAMs for short molecules. NDC stands for the observation of negative differential conductance.
Cyclic voltammetry was used to monitor the growth of the SAMs on gold films evaporated on mica substrates. By measuring the reduction and reoxidation peaks in a 1 mM K4[Fe(CN)6] solution with 0.5 M KCl, it was possible to estimate the coverage of the Au electrode by the SAM. Figure 2 shows cyclic voltammograms of self-assembled monolayers of different molecules. The redox peaks from ferrocyanide with a bare gold electrode between 200 and 300 mV disappear as different SAMs of molecules are grown, which is indicated by the arrows in Figure 2.

Figure 2 Cyclovoltammogram of 1 mM K4[Fe(CN)6] and 0.5 M KCl (scan rate 100 mV/s) on the Au electrodes covered with different molecules. This constitutes an important test of the molecular coverage of the gold and is thus a test of the quality of the SAMs. The black curve shows the redox peak resulting from a bare Au electrode. The colored lines give the results for SAM-covered Au; indeed the redox peaks have vanished. The green curve shows the cyclic voltammogram for the sample covered with 1,4-benzenedithiol molecules, which is different from the other curves at high bias. This behavior may indicate that 1,4-benzenedithiol SAMs become conductive at these conditions. In fact, all the devices fabricated with 1,4-benzenedithiol showed a very small resistance, which is difficult to distinguish from shorts between source and drain electrodes that result from imperfections in the SAM.
In the final fabrication step, a gold top electrode was evaporated on top of the SAM. This evaporation was made at an angle of -10o at liquid nitrogen temperature using a very slow deposition rate (0.1 Å/s) in order to avoid possible damage to the molecules.
Figure 1b shows the SEM image of a typical, completed device. A lift-off step was not made after the gold evaporations. Figure 1c shows that the gold that remains on the top of the resist is well isolated from the electrodes by the large undercut in the middle layer. The overlap area between the top and bottom electrodes of this device is 20 × 20 nm2. If we assume that the sulfur atom of each molecule is at the fcc-hollow site of the Au surface, then the spacing between molecules is about ~5 Å.7 In a device with 20 × 20 nm2 contact area, approximately 3700 molecules then connect the top and bottom electrodes. By changing the angles of the two evaporations, one can control the overlap area between the top and bottom electrodes, which corresponds to the number of sandwiched molecules. We have fabricated samples with overlaps of approximately 200 to 104 nm2, in order to compare the transport characteristics.
More than 1000 devices were fabricated. Many of them, however, were electrically short circuited between source and drain electrodes. This can be attributed to imperfections in the SAMs that lead to shorts. Table 1 shows that the yield of working devices was between 5% and 16%. Here we define a working device as a sample that has a conductance between 10 kΩ and 10 GΩ. The samples appeared to degrade with time; we usually found that the samples became insulating after two weeks. We were not able to make working devices with 1,4-benzenedithiol or biphenyldiisocyanide. Current-voltage characteristics and gate voltage dependencies were measured for the devices with the remaining three molecules: 1,3-benzenedithiol, 1,4-phenylenediisocyanide, and biphenyldithiol. In many samples, the electronic transport characteristics were irreproducible. Below, we describe the electrical characteristics of the samples that gave reproducible results.
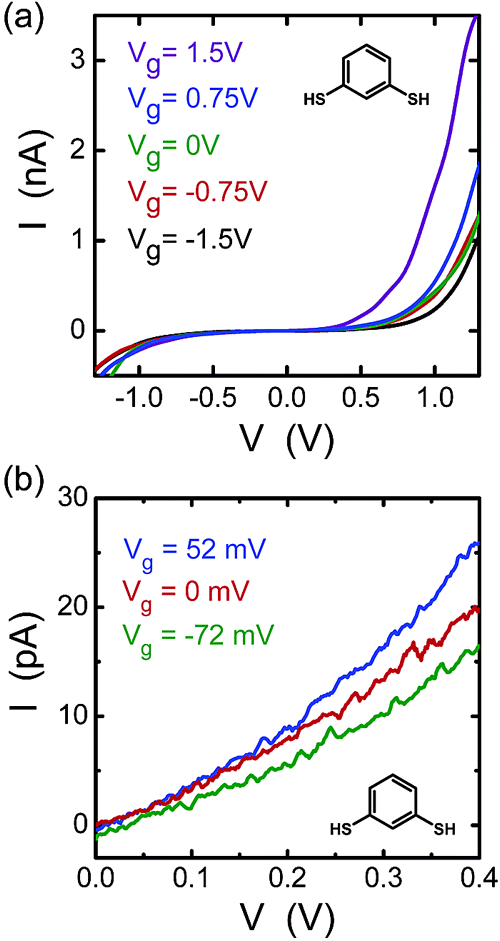
Figures 3a and b show the room temperature I-V curves for self-assembled monolayers of 1,3-benzenedithiol molecules at different gate voltages. The curves are asymmetric around the origin and the source-drain current slightly increases when a positive gate voltage is applied, indicating n-type behavior. The I-V curves increase exponentially in the positive bias region. Positive bias corresponds to electrons being emitted from the top electrode and collected at the bottom electrode.

Figure 3 (a) I-V characteristics of a 1,3-benzenedithiol SAM between Au electrodes for various values of the gate voltage. (b) I-V characteristics of a 1,3-benzenedithiol SAM sandwiched between Pt electrodes. Due to a leakage current between Pt and Al/Al2O3 electrodes, only a limited range of gate voltage could be applied. All data were taken at room temperature.
The highly asymmetric I-V curves can be explained from the asymmetry of the binding of 1,3-benzenedithiol molecules to the electrodes. For asymmetric molecules, an asymmetric differential conductance with respect to voltage inversion has been reported.8 We suspect that both thiol end groups of the 1,3-benzenedithiol molecules form covalent bonds with the bottom electrode, and that the top electrodes were then evaporated directly onto the benzene rings. Similar behavior has previously been observed in SAMs of 4-thioacetylbiphenyl molecules that have a monothiol end-group.9
Two out of twenty devices made with 1,3-benzenedithiol molecules showed an appreciable gate effect. In these cases, the maximum voltage gain observed was 0.3 for an input bias current of 2 nA, and a gate voltage of 0.75 V. The on/off ratio was about 10 at the bias voltage of 700 mV. Here we define Vg = -1.5 V as the off state and Vg = 1.5 V as the on state. The voltage gain is larger than we expected for this device geometry. Due to the very close spacing of the top and bottom electrodes (~1 nm), which is smaller than the thickness of the gate oxide, we would not expect a strong coupling of the gate to the molecules. From the geometry of the device, we estimate that only 0.5-3% of the contacted molecules would respond to the gate. The reason for the observed gate effect for these two devices is not clear. We speculate that there may be more than one monolayer of molecules in these special cases. Figure 3b shows the I-V curves of a self-assembled monolayer of 1,3-benzenedithiol contacted with platinum electrodes. Due to the rather large leakage current from the gate (> 20 pA at 1.5 V), it was only possible to apply a limited gate voltage to samples contacted with Pt electrodes. Upon comparing the I-V curves of the Pt-contacted sample with the Au-contacted sample, it is clear that the I-V characteristics of the 1,3-benzenedithiol SAMs do not change appreciably for different contact electrode materials. In both cases, the conductance was of the same order of magnitude and similar gate dependences were observed.
For devices fabricated with 1,4-phenylenediisocyanide, no reproducible gate effects were observed. Figure 4a shows an I-V curve measured at 4.2 K. The I-V curve is highly nonlinear, and some rounded, step-like features are present. They appear as clear peaks in the differential conductance (red curve). At the bias voltages where we observed peaks in the differential conductance, we observed a switching of the current as a function of time between two discrete values. For this reason, we believe that these step-like features do not correspond to transport through an additional molecular orbital that is enabled by the bias voltage. The switching behavior was very reproducible and always occurred at the same bias voltage independent of the gate voltage.

Figure 4 (a) I-V and dI/dV-V curves measured for a 1,4-phenylenediisocyanide SAM at 4.2 K. The contact area was about 104 nm2. (b) I-V and dI/dV-V characteristics for 1,4-phenylenediisocyanide from the sample with a small (~400 nm2) contact area.
The symmetry of the differential conductance for the positive and the negative bias is consistent with the symmetric geometry of the 1,4-phenylenediisocyanide molecules. The small asymmetry of the current can be explained by the barrier height difference between the chemisorbed Au contact and the evaporated Au contact. If we compare our results with those measured with the nanopore technique of Chen et al.,9 we find a striking resemblance. They also observed a conductance with a similar order of magnitude with a contact area of ~3000 nm2, and a small asymmetry due to the contact configuration. Chen et al. used Ti for the top electrode whereas we have used Au. The measured conductance of our devices is 2 orders of magnitude smaller than the conductance quantum (e2/h), even though we have a 104 nm2 overlap area and thus ~9×104 molecules in parallel. Samples with a smaller overlap between top and bottom electrodes [~ 400 nm2, cf Figure 1b] showed a current only five times smaller at a bias voltage of 400 mV. From this, we conclude that the conductance of the 1,4-phenylenediisocyanide SAMs is not linearly proportional to the number of molecules. Intermolecular reactions or variations of the contact geometry have to be taken into account. Figure 4b shows the I-V and dI/dV-V curves of the sample shown in Figure 1b. We observe peaks in the differential conductance curve that are not due to switching events and a clear negative differential conductance at 350 mV. The sample shows a small amount of hysteresis between forward and backward sweeps. For all samples with 1,4-phenylenesiisocyanide, we observed unstable and noisy behavior at high voltage bias (> 1 V).
Figure 5 shows the measured characteristics for SAMs of biphenyldithiol. The I-V and dI/dV-V curves were measured simultaneously using a lock-in technique. No gate effects were observed in this system. The estimated contact area between source and drain was about 200 nm2. Two distinct peaks in the differential conductance are observed and a clear negative differential conductance region occurs at 460 mV. This may be explained by resonant tunneling through different molecular levels.11,12 Theoretically, it is possible to estimate the differential conductance using the formula13

where μ1 and μ2 correspond the chemical potentials of the electrodes and η is a parameter that describes the potential profile across the molecule. If we compare the measured differential conductance of biphenyldithiol SAMs with a calculation for η =0.5,14 the shape of the conductance spectrum is very similar, although the peaks occur at different bias voltages. Unlike the calculation that is based on a single molecule, we have on the order of 103 molecules between the source and drain electrodes, and indeed we observed a conductance 3 orders of magnitude higher than the conductance predicted by the calculation. A full understanding of the dependences of the positions of the molecular orbitals (peaks in differential conductance curve) on the contact geometry or on the number of molecules participating in electron transport remains to be developed.

Figure 5 I-V curve and dI/dV-V of a biphenyldithiol device measured at 4.2 K.
In summary, we have measured the transport characteristics of self-assembled monolayers of conjugated phenylene-based molecules in a three-terminal layout with a nearby Al2O3/Al gate. The yield of devices that shows nonshorted and noninfinite conductance was low, and the lifetime of the devices was less than two weeks. We were able to fabricate devices with three of the five types of molecules that we investigated. Often the conductance measurements were irreproducible from sample to sample, and we sometimes even measured time-dependent characteristics when the same device was measured multiple times in a row. The primary goal of this work was to understand the transport through self-assembled monolayers of short conjugated oligomers. We found large conductance fluctuations from sample to sample, which possibly may be understood as a strong sensitivity of the molecules to the contact configuration. We have observed some interesting nonlinear transport characteristics for a small number of devices as well as a small gate effect for a few samples with 1,3-benzenedithiol SAMs. Comparing our results to those reported by Schön, we found a much lower reproducibility of the devices, much higher resistances, and in most instances no measurable gating effect. Overall, our measurements indicate that there is not much prospect for developing molecular electronics based on such SAMFETs.2
We thank Dr. Dirk Heering for valuable discussions about cyclic voltammetry.
* Corresponding author. E-mail: lee@mb.tn.tudelft.nl
1. Schön, J. H.; Meng, H.; Bao, Z. Nature (London) 2001, 413, 713.
2. Beasley, M. R. (Chair); Datta, S.; Kogelnik, H.; Kroemer, H.; Monroe, D. Report of the investigation committee on the possibility of scientific misconduct in the work of Hendrik Schön and coauthors (September, 2002). http://www.lucent.com/news_events/pdf/ researchreview.pdf
3. Bachtold, A.; Hadley, P.; Nakanishi, T.; Dekker, C. Science 2001, 294, 1317.
4. Zhitenev, N. B.; Meng, H.; Bao, Z. Phys. Rev. Lett 2002, 88, 226801.
5. Liang, W.; Shores, M. P.; Bockrath, M.; Long, J. R.; Park, H. Nature 2002, 417, 725-729.
6. Rule, M.; Tanner J. T., III; US patent 5,338,886, 1994.
7. Yourdshahyan, Y.; Rappe, A. M. J. Chem. Phys 2002, 117, 825.
8. Reichert, J.; Ochs, R.; Beckman, D.; Mayor, M.; Löhneysen, H. V. Phys. Rev. Lett. 2002, 88, 176804-1.
9. Zhou, C.; Deshpande, M. R.; Reed, M. A. Appl. Phys. Lett. 1997, 71, 611.
10. Chen, J.; Calvet, L. C.; Reed, M. A.; Carr, D. W.; Grubisha, D. S.; Bennett, D. W. Chem. Phys. Lett. 1999, 313, 741.
11. Chen, J.; Wang, W.; Reed, M. A.; Rawlett, A. M.; Price, D. W.; Tour, J. M. Appl. Phys. Lett. 2000, 77, 1224.
12. Di Ventra, M.; Pantelides, S. T.; Lang, N. D Appl. Phys. Lett. 2000, 76, 3448.
13. Datta, S.; Tian, W.; Hong, S.; Reifenberger, R.; Henderson, J. I.; Kubiak, C. P. Phys. Rev. Lett. 1997, 79, 2530.
14. Hong, S.; Reifenberger, R.; Tian, W.; Datta, S.; Henderson, J.; Kubiak, C. P. Superlattices Microstruct. 2000, 28, 289.